Ответы
Ответ дал:
0
Ответ:
Объяснение:
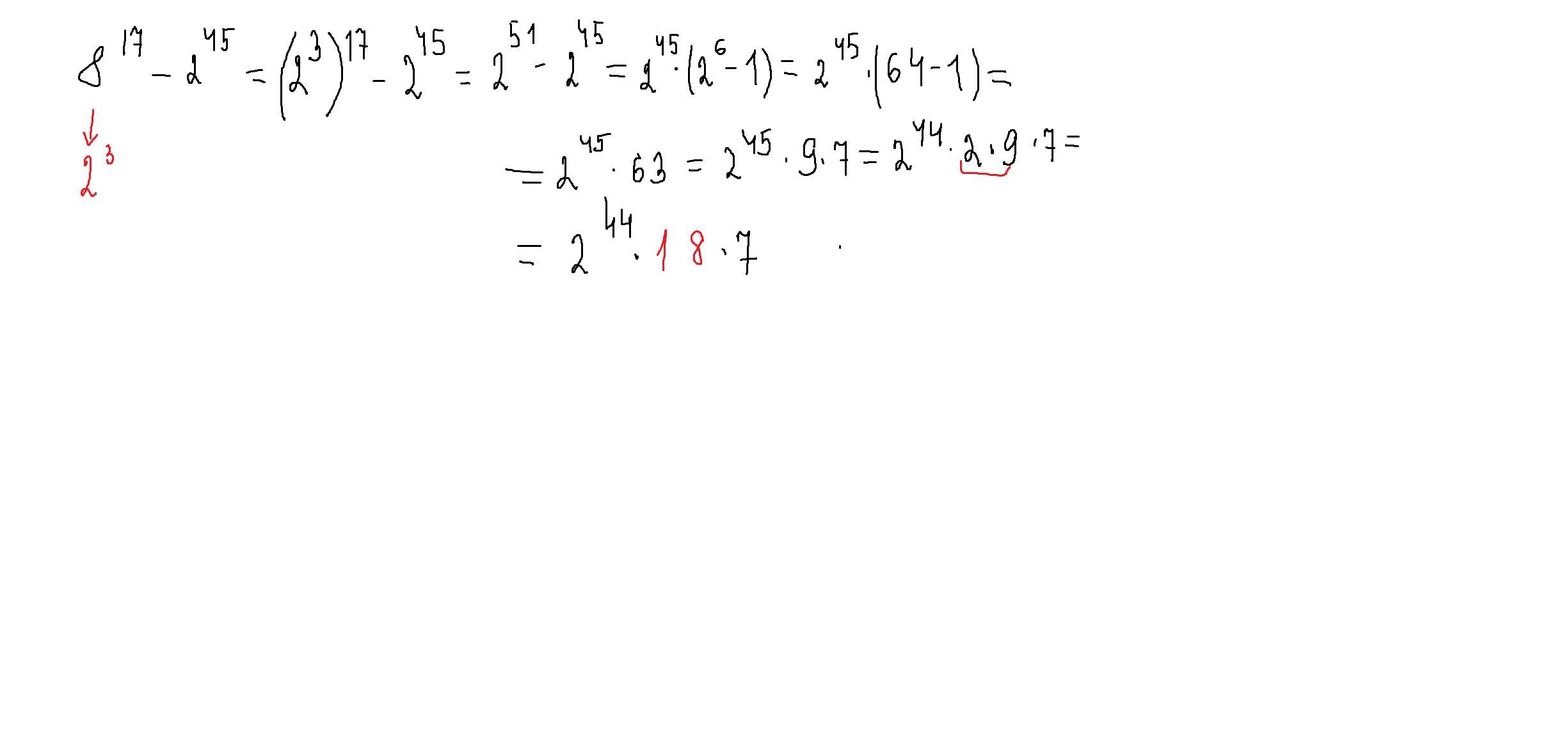
решение смотри внизу.В результате преобразований получаем произведение,которое содержит множитель 18.Значит оно делится на 18,т.е кратно 18.
Приложения:

Вас заинтересует
1 год назад
2 года назад
2 года назад
3 года назад
8 лет назад