• Предмет: Математика
  • Автор: nashida97
  • Вопрос задан 2 года назад

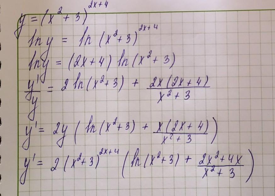
Вычислить производную методом логарифмического дифференцирования 1) y=(x^2+3)^2x+4

Приложения:

nashida97: 2 пример,если что,тоже непонятен и вызывает бурю непонимания решения
NNNLLL54: свойства логарифмов надо знать, тогда всё понятно будет

Ответы

Ответ дал: Svika98
0

Ответ:

Решение на фото

.

.

.

.

.

.

.

.

Приложения:

NNNLLL54: потеряли "2" в 5 строчке в числителе
Ответ дал: NNNLLL54
0

1)\; \; y=(x^2+3)^{2x+4}\\\\lny=ln(x^2+3)^{2x+4}\qquad \; \; lnx^{k}\frac{x}{y} =k\cdot lnx\; ,\; \; x>0\\\\lny=(2x+4)\cdot ln(x^2+3)\qquad \; \; (lnx)'=\frac{1}{x}\; ,\; \; (lnu)'=\frac{1}{u}\cdot u=\frac{u'}{u}\\\\(uv)'=u'v+uv'\\\\\frac{y'}{y}=2\cdot ln(x^2+3)+(2x+4)\cdot \frac{2x}{x^2+3}\\\\y'=y\cdot \Big (2\cdot ln(x^2+3)+\frac{2x(2x+4)}{x^2+3}\Big )\\\\y'=(x^2+3)^{2x+4}\cdot \Big (2\, ln(x^2+3)+\frac{4x(x+2)}{x^2+3}\Big )

2)\; \; y=\frac{e^{x^2+2}\cdot \sqrt{2x+4}}{3x^2+5}\\\\lny=ln\frac{e^{x^2+2}\cdot \sqrt{2x+4}}{3x^2+5}\\\\ln(x\cdot y)=lnx+lny\; \; ,\; \; ln\frac{x}{y}=lnx-lny\; \; ;\; \; \; x>0\; ,\; y>0\\\\lny=ln(e^{x^2}+2)+\frac{1}{2}\, ln(2x+4)-ln(3x^2+5)\\\\\frac{y'}{y}=\frac{e^{x^2}\cdot 2x}{e^{x^2}+2}+\frac{1}{2}\cdot \frac{2}{2x+4}-\frac{6x}{3x^2+5}\\\\y'=y\cdot \Big (\frac{e^{x^2}\cdot 2x}{e^{x^2}+2}+\frac{1}{2}\cdot \frac{2}{2x+4}-\frac{6x}{3x^2+5}\Big )\\\\y'=\frac{e^{x^2+2}\cdot \sqrt{2x+4}}{3x^2+5}\cdot \Big (\frac{e^{x^2}\cdot 2x}{e^{x^2}+2}+\frac{1}{2x+4}-\frac{6x}{3x^2+5}\Big )

Вас заинтересует