• Предмет: Алгебра
  • Автор: oleeesya94
  • Вопрос задан 2 года назад

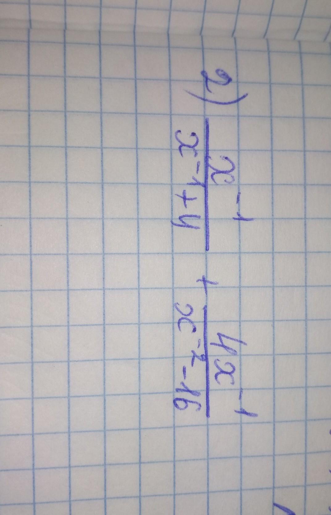
ПОМОГИТЕ ПОЖАЛУЙСТА АЛГЕБРА 9 КЛАСС СРОЧНО!!!!​

Приложения:

Ответы

Ответ дал: NNNLLL54
1

\frac{x^{-1}}{x^{-1}+4}+\frac{4x^{-1}}{x^{-2}-16}=\frac{\frac{1}{x}}{\frac{1}{x}+4}+\frac{4\cdot \frac{1}{x}}{\frac{1}{x^2}-4^2}=\frac{\frac{1}{x}}{\frac{1+4x}{x}}+\frac{\frac{4}{x}}{\frac{1-(4x)^2}{x^2}}=\frac{1}{1+4x}+\frac{4x}{(1-4x)(1+4x)}=\\\\=\frac{1-4x+4x}{(1-4x)(1+4x)}=\frac{1}{1-(4x)^2}=\frac{1}{1-16x^2}


EricDenayet: Можете помочь?
Вас заинтересует