• Предмет: Математика
  • Автор: ashishrathore591
  • Вопрос задан 2 года назад

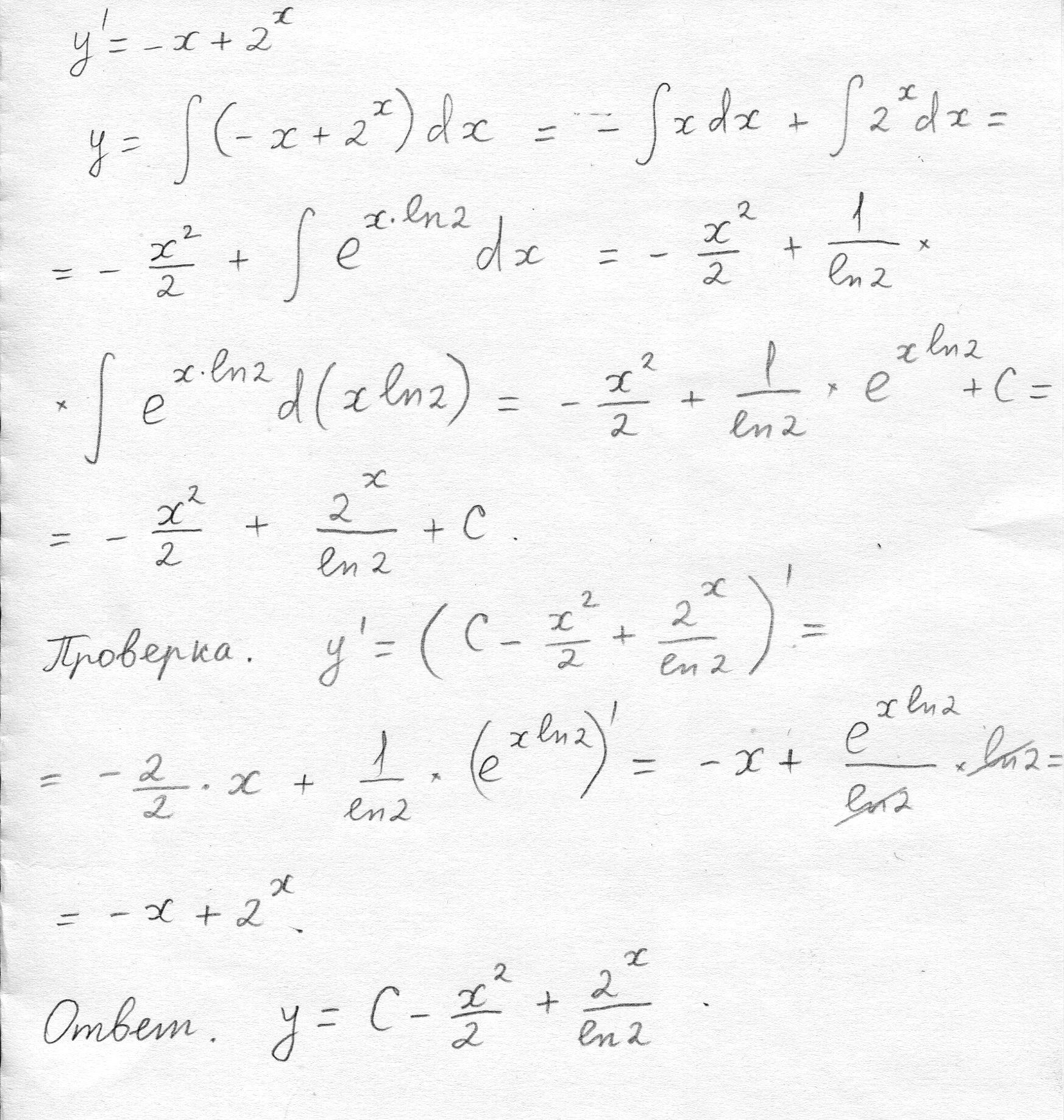
find the general solution of the differential equation y'=-x+2^x​


Аноним: Найти общее решение дифференциального уравнения y '= - x + 2 ^ x

Ответы

Ответ дал: Аноним
0

см. прикрепленное изображение ===>>

Приложения:
Ответ дал: Аноним
0

Решение задания приложено

Приложения:
Вас заинтересует