• Предмет: Математика
  • Автор: eea4s4
  • Вопрос задан 2 года назад

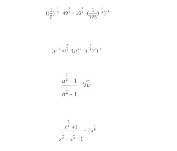
Помогите решить одно любое на ваш выбор задание пожалуйста

Приложения:

Ответы

Ответ дал: sofiyavictoria
0

Ответ:

Пошаговое объяснение:

(a^1/4-1)*(a^1/4+1):(a^1/4-1) - a^1/4=a^1/4+1-a^1/4=1

Вас заинтересует