• Предмет: Алгебра
  • Автор: 51Amerika
  • Вопрос задан 2 года назад

Можно подробнее объяснить решение?Более поэтапно.

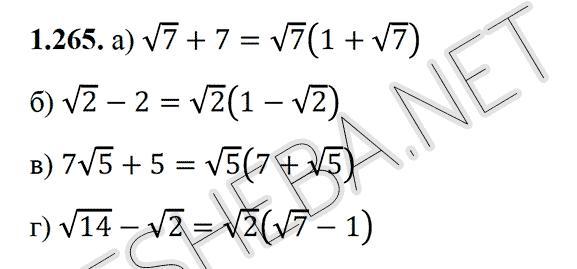
Приложения:

Ответы

Ответ дал: NNNLLL54
1

1)\; \; \sqrt7+7=\sqrt7\cdot 1+\underbrace {\sqrt7\cdot \sqrt7}_{7}=\sqrt7\cdot (1+\sqrt7)\\\\\\2)\; \; \sqrt2-2=\sqrt2\cdot 1-\underbrace {\sqrt2\cdot \sqrt2}_{2}=\sqrt2\cdot (1-\sqrt2)\\\\\\3)\; \; 7\sqrt5+5=7\cdot \sqrt5+\underbrace{\sqrt5\cdot \sqrt5}_{5}=\sqrt5\cdot (7+\sqrt5)\\\\\\4)\; \; \sqrt{14}-\sqrt2=\underbrace {\sqrt{2\cdot 7}}_{\sqrt{14}}-\sqrt2=\underbrace {\sqrt2\cdot \sqrt7}_{\sqrt{14}}-\sqrt2\cdot 1=\sqrt2\cdot (\sqrt7-1)

Вас заинтересует