• Предмет: Алгебра
  • Автор: 51Amerika
  • Вопрос задан 2 года назад

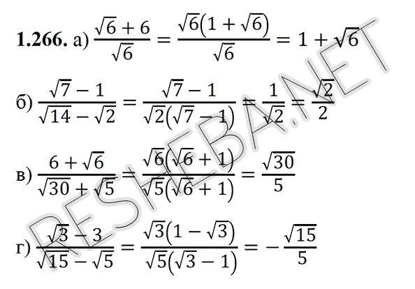
Можете объяснить концы упражнений,почему оставшиеся числа как то перемножаются и откуда берется делитель?

Приложения:

Ответы

Ответ дал: solving05
1

Ответ:

Объяснение:

Во все примерах за скобки вынесен общий множитель, для последующего сокращения со знаменателем.


51Amerika: это я понимаю,а откуда в ответе "5" , "2" ?
solving05: умножение на корень из 2, на корень из 5, чтобы избавиться от иррациональности в знаменателе
51Amerika: я говорю не об этом,мне интересно откуда в ответе получаются такие дроби как корень из тридцати на пять
solving05: корень из шести умножается на корень из пяти, корень из пяти умножается на корень из пять. после чего и получается результат)))
51Amerika: понял, принял
Вас заинтересует