Ответы
Ответ дал:
2
Ответ:
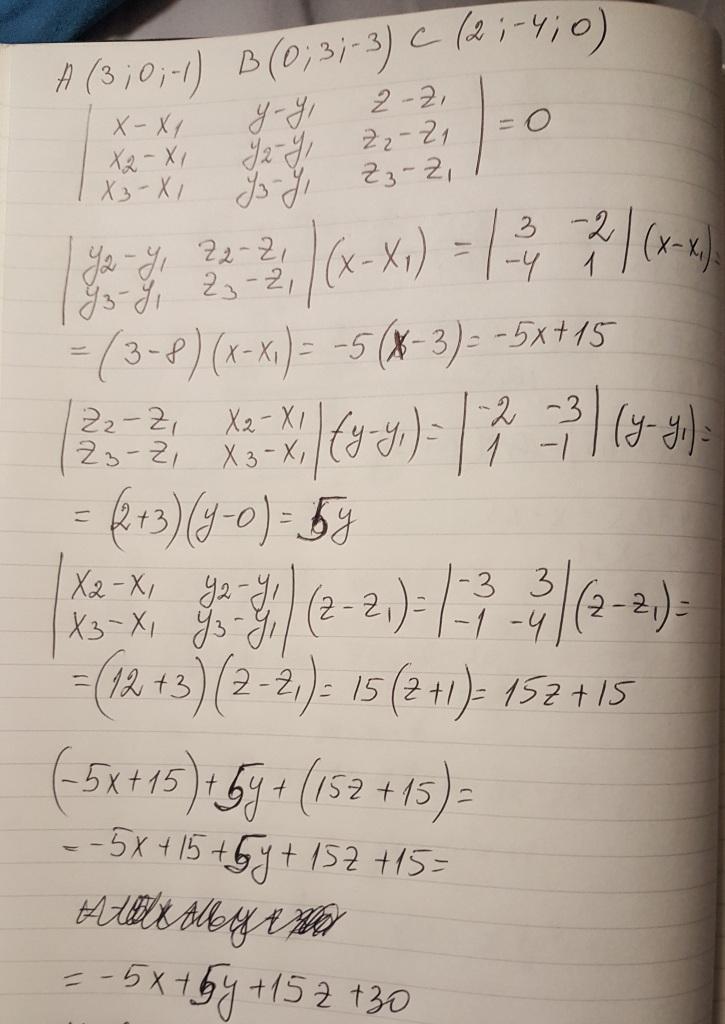
-x+y+3z+6=0
Объяснение:
ответ из фото сокращаем на 5
Приложения:

andrisd:
Ошибка! Сейчас исправлю.
Ответ дал:
1
Можно решить без матрицы, использовав раскрытую формулу.
Пусть (х1, х2, х3), (у1, у2, у3) и (z1, z2, z3) – координаты первой, второй и третьей точки соответственно. (x-x1)*(у2-y1)*(z3-z1) – (x-x1)*(z2-z1)*(y3-y1) – (y-y1)*(x2-x1)*(z3-z1) + (y-y1)*(z2-z1)*(x3-x1) + (z-z1)*(x2-x1)*(y3-y1) – (z-z1)*(y2-y1)*(x3-x1) = 0.
Подставив координаты точек, получим уравнение:
-5 x + 5 y + 15 z + 30 = 0 , или
x - y - 3z - 6 = 0 .
Вас заинтересует
1 год назад
2 года назад
3 года назад
8 лет назад