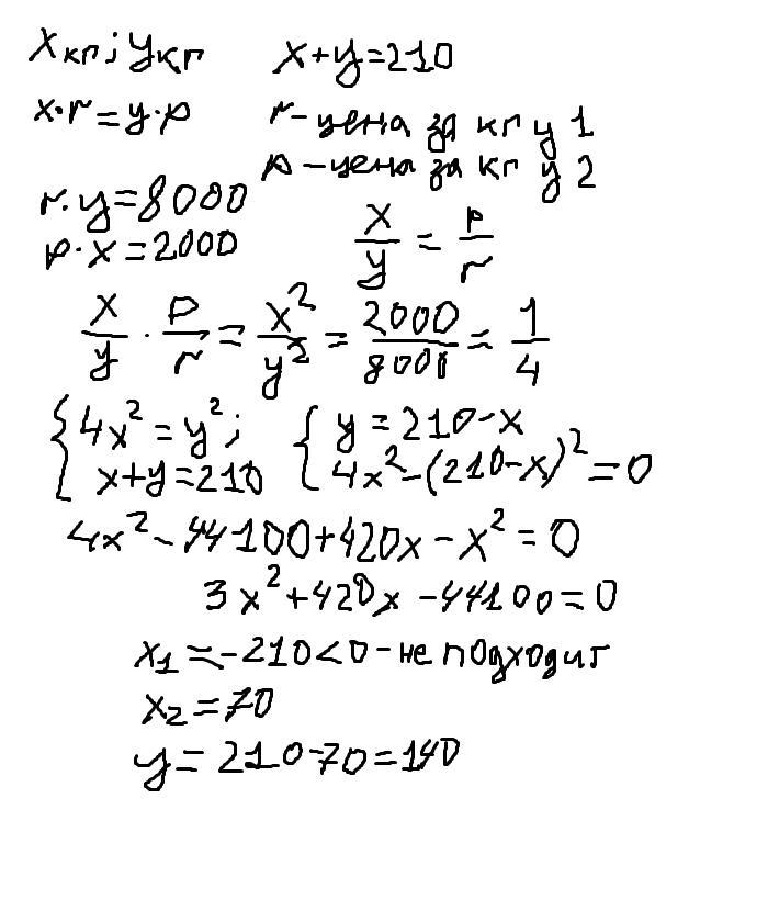
№ 145. Двое мужчин продали на рынке 210 кг фруктов. Первый больше второго, но оба получили одинаковые суммы. По пути домой, первый сказал: "Если бы у меня были твои фрукты, то я выручил бы за них 8000 тенге". Второй ответил: "За твои фрукты я получил бы только 2000 тенге". Сколько килограммов фруктов продал каждый из них?
Максимальные баллы !!!
Ответы
Ответ дал:
14
Ответ:
140 кг и 70 кг
Объяснение:
Решение в приложении
Приложения:

Вас заинтересует
1 год назад
1 год назад
2 года назад
2 года назад
3 года назад
3 года назад
8 лет назад