• Предмет: Алгебра
  • Автор: Аноним
  • Вопрос задан 2 года назад

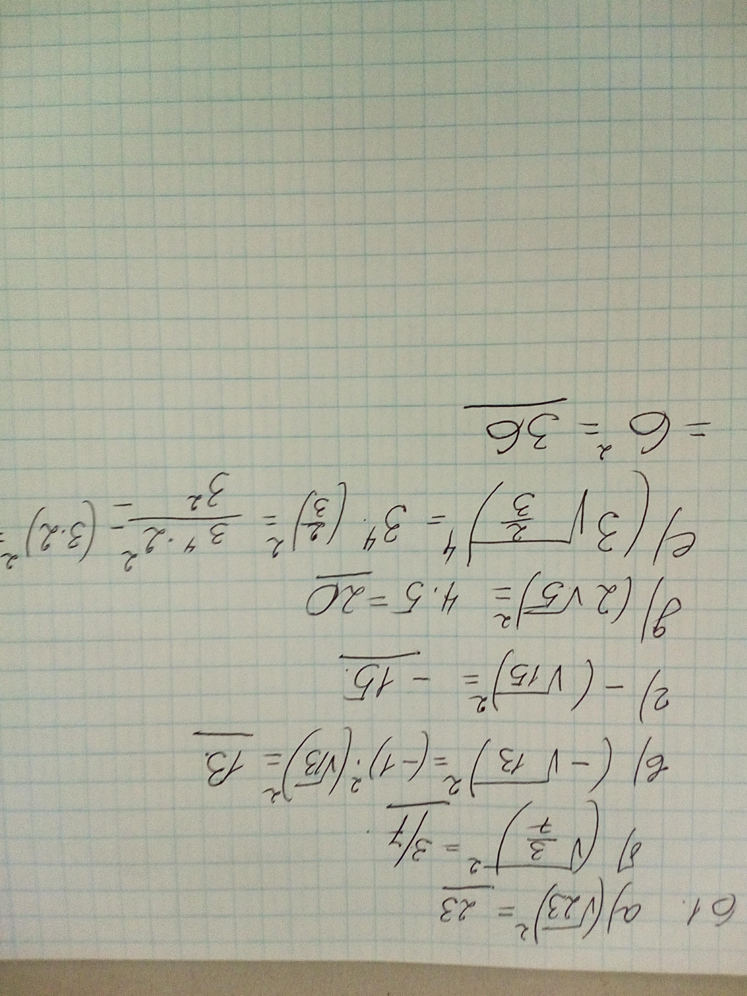
61 найдите значение выражения

Приложения:

Ответы

Ответ дал: solving05
4

Ответ:

Объяснение:

(\sqrt{23})^2=23;\\(\sqrt{\frac{3}{7}})^2=\frac{3}{7};\\(-\sqrt{13} )^2=13;\\-(\sqrt{15} )^2=-15;\\(2\sqrt{5})^2=4*5=20;\\(3\sqrt{\frac{2}{3}})^4=3^4\frac{2^2}{3^2}=9*4=36

Ответ дал: Аноним
2

Ответ и решения см. во вложении

Приложения:
Вас заинтересует