• Предмет: Математика
  • Автор: Ramzesz
  • Вопрос задан 2 года назад

xy'=2√y^2 - x^2 + y
Нужно найти дифференциальных уравнений

Приложения:

Ответы

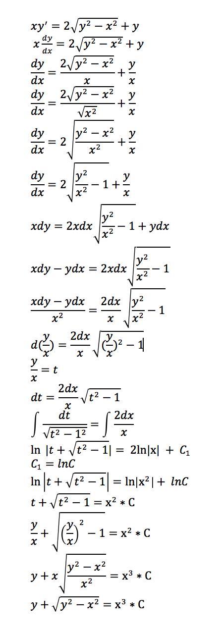
Ответ дал: Nastya808080
0

Ответ:

y+\sqrt{y^{2}-x^{2} } =x^{3} *C

Пошаговое объяснение:

Приложения:
Вас заинтересует