• Предмет: Математика
  • Автор: eva1542
  • Вопрос задан 2 года назад

решите пропорцию. пожалуйста​

Приложения:

Ответы

Ответ дал: tatsach
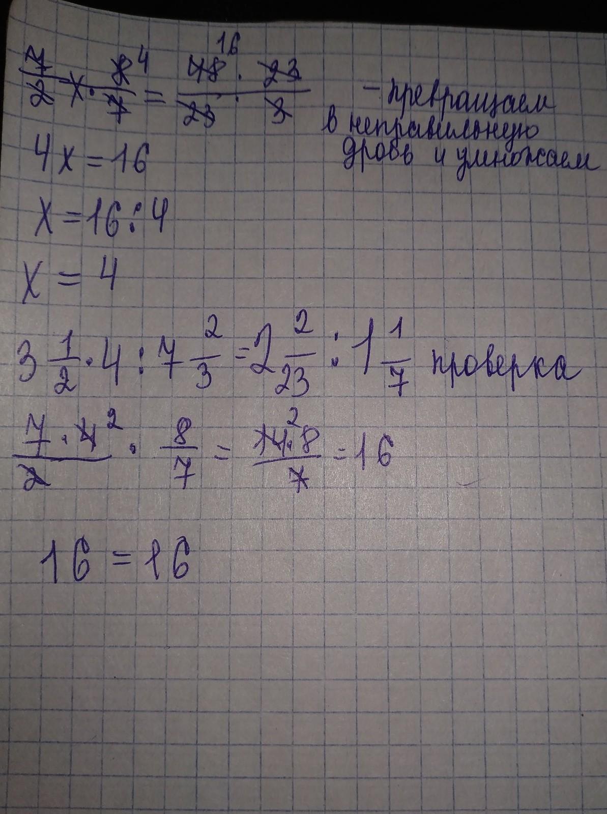
1

Ответ:

Пошаговое объяснение:

Приложения:

eva1542: там 3 1/2 x : 7 2/3
tatsach: Списывайте своё условие а потом моё решение, я просто не списывала условие, а начала с решения
eva1542: аа! всё спасибо . Вы мне очень помогаете
evgeniya1309: я сомневаюсь в правильности вашего ответа,в пропорции произведение крайних членов должно быть ровно произведению средних членов
tatsach: ой это я что то не так написала, сейчас переделаю
eva1542: ок
tatsach: Перегрузите страницу
eva1542: спасибо большое
Ответ дал: evgeniya1309
1

Пошаговое объяснение:

пропорция ,крайние члены перемножаем и средние,между собой

Приложения:

evgeniya1309: моё решение верное
evgeniya1309: ниже есть проверка
evgeniya1309: по основному свойству пропорции
eva1542: спасибо
eva1542: большое
Вас заинтересует