• Предмет: Алгебра
  • Автор: dflollyadf
  • Вопрос задан 2 года назад


прошу вашей помощи.
1) корень квадратный из 5 / корень квадратный из 3 - корень квадратный из 2 =​

Ответы

Ответ дал: ovcharenko28
0

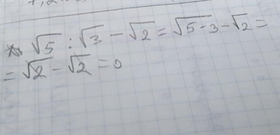
Ответ:

0

Объяснение:

На фото есть решение.

Приложения:

dflollyadf: не верно
dflollyadf: как вы могли занести 5 под общий корень с 3?
Ответ дал: moyashokoladka
1

Объяснение:

 \sqrt{5 }    \div  \sqrt{3}  -  \sqrt{2}  =  \sqrt{5  \div 3}  -  \sqrt{2}  =  \sqrt{ \frac{5}{3} }  -  \sqrt{2}  =  \frac{ \sqrt{5} }{ \sqrt{3} }  -  \sqrt{2}  =  \frac{ \sqrt{15} }{3}  -  \sqrt{2}

Как то так........


dflollyadf: почему вы занесли 5 и 3 под общий корень?
moyashokoladka: частное корней одной степени равно корню из частного подкоренных выражений
moyashokoladka: ясно?
dflollyadf: ну так
dflollyadf: пойдёт
Вас заинтересует