Для всех
исследовать СЛАУ на совместность по теореме Кронекера-Капелли (использовать метод Гаусса)
Приложения:

lidiasaraa3:
СЛАУ-?((
Ответы
Ответ дал:
2
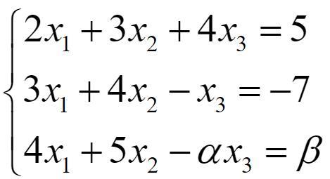
По теореме Кронекера-Капелли, система будем совместной тогда и только тогда, когда ранг матрицы системы равен рангу расширенной матрицы.
При система не совместна. При
система совместна, при этом
- ранг меньше числа неизвестных, то система имеет бесконечно множество решений. При
система совместна, при этом
- система имеет единственное решение. При
и
система совместна, причём система имеет единственное решение, ранг равен числу неизвестных
Вас заинтересует
1 год назад
1 год назад
2 года назад
2 года назад
3 года назад
3 года назад
8 лет назад