• Предмет: Алгебра
  • Автор: vladik393
  • Вопрос задан 2 года назад

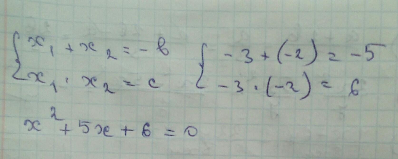
Составьте уравнение по данным его корням: х1 = -3 х2 = -2

Ответы

Ответ дал: ЯгодкаЯлесная
0

Ответ:

фоточка тебе в помощь;)

Приложения:
Ответ дал: xxxeol
0

Объяснение:

y = (x-a)*(x-b) - два корня.

(x - (-3))*(x - (-2)) = (x+3)*(x+2) = x²+2x+3x + 3*2 = x² + 5x + 6 - уравнение

Вас заинтересует