Распишите кто-нибудь, решение выходит, но с ответом не совпадает, правильные:
в) (-3;1) U (1;3)
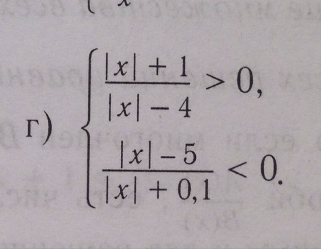
г) (-5;-4) U (4;5)
Приложения:

Ответы
Ответ дал:
0
Видно только пункт г). Ответ во вложении.
Приложения:

Вас заинтересует
2 года назад
2 года назад
8 лет назад
8 лет назад
10 лет назад
10 лет назад