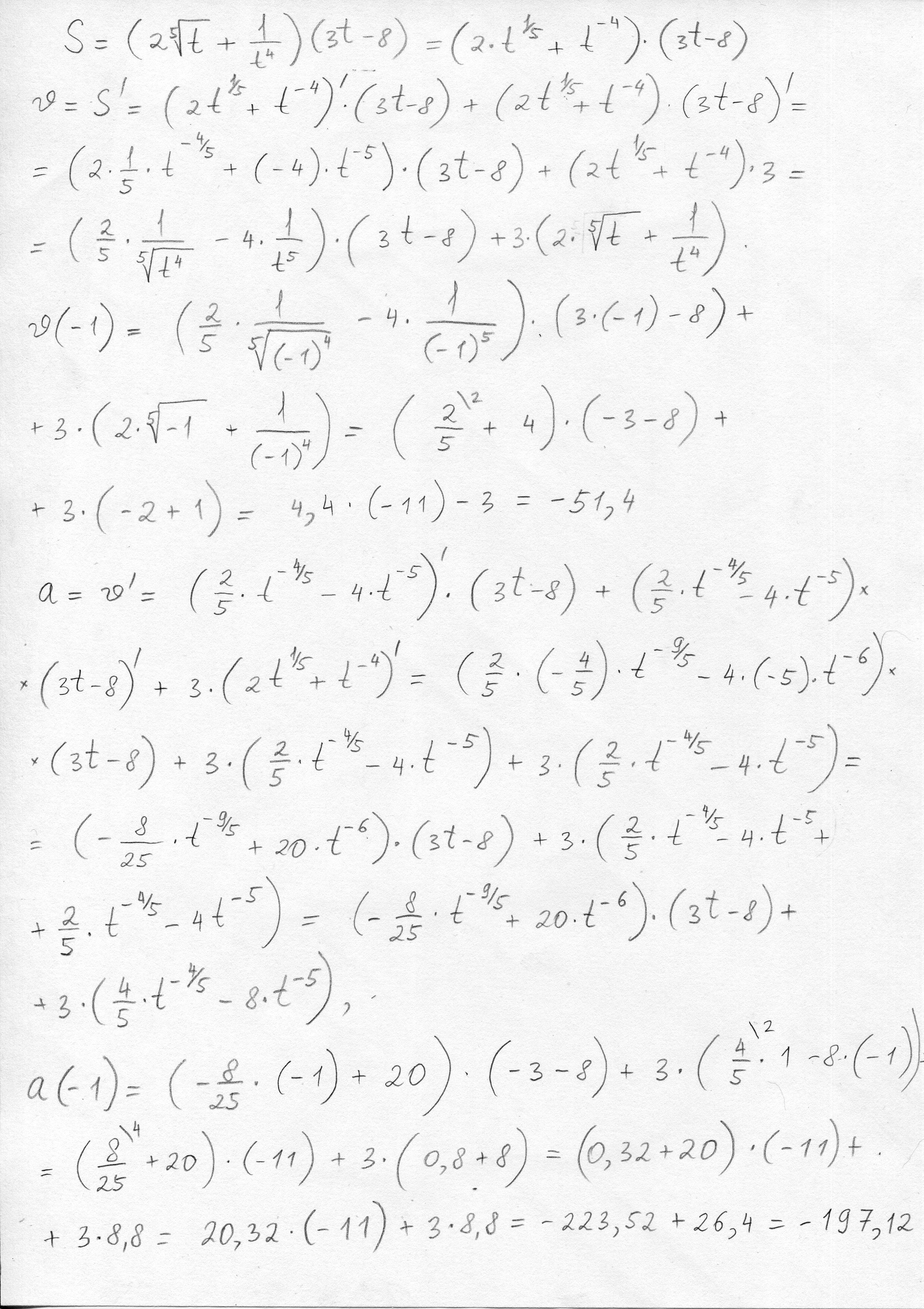
Найти скорость и ускорение мат точки ,движущейся прямолинейно по закону
Приложения:

Аноним:
Производные вы проходили?? Первая производная по времени - это скорость. Вторая производная по времени - это ускорение.
Ответы
Ответ дал:
1
я написал решение на листочке ===>>
Приложения:

Вас заинтересует
1 год назад
1 год назад
2 года назад
2 года назад
3 года назад
3 года назад