• Предмет: Алгебра
  • Автор: maksimflick
  • Вопрос задан 2 года назад

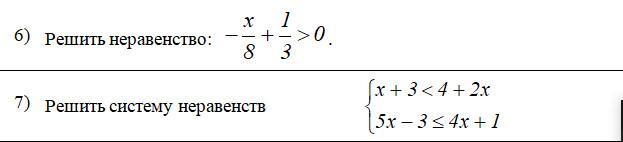
помогите срочно!!! МНЕ нужно полное решение

Приложения:

Ответы

Ответ дал: bena20193
0

Ответ:

Объяснение:

=============

Приложения:
Вас заинтересует