• Предмет: Геометрия
  • Автор: Micro89
  • Вопрос задан 2 года назад

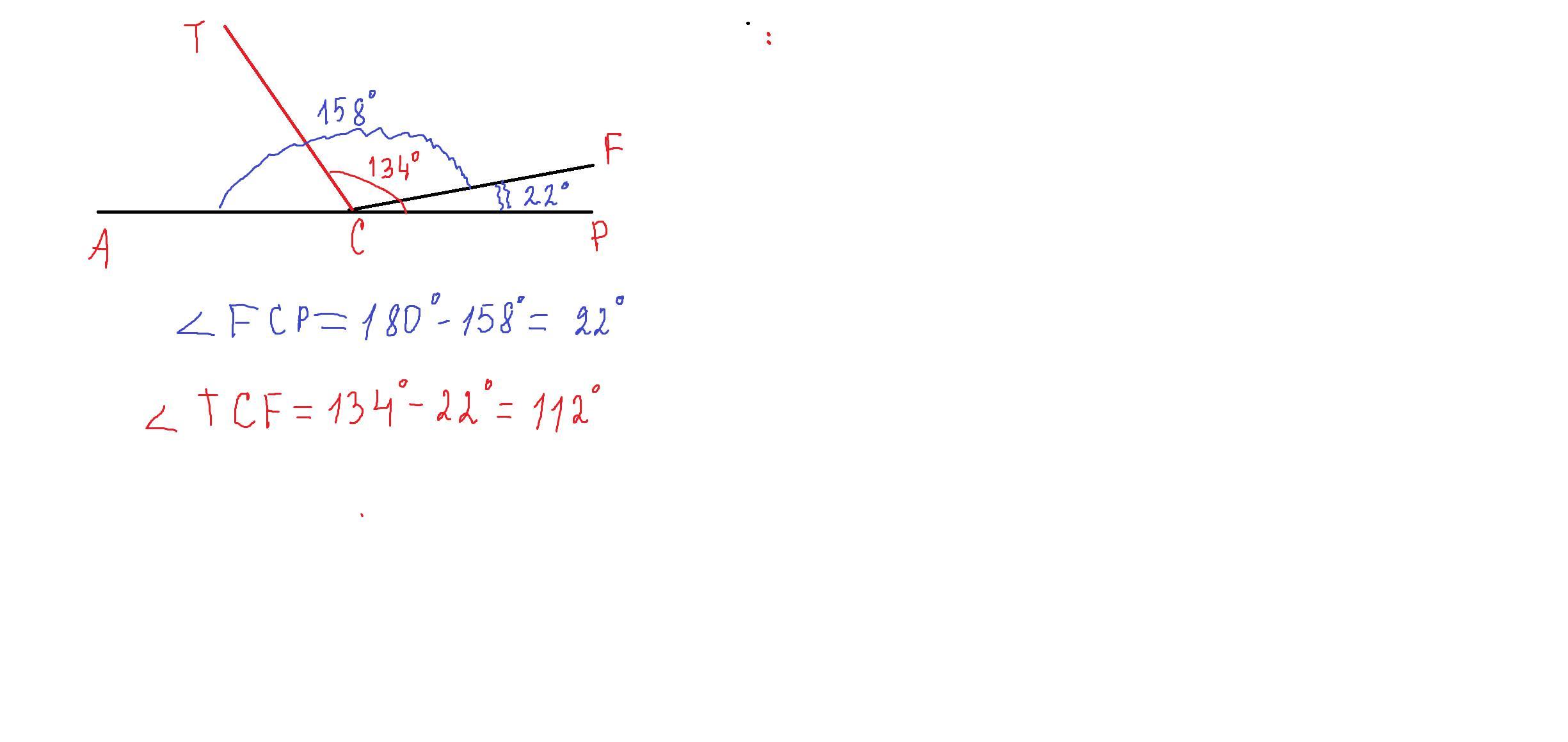
Помогите.Из вершины развернутого угла ACP провели два луча СТ и СF так,что угол ACF= 158°;угол TCP=134°.Найдите угол TCF.

Приложения:

Ответы

Ответ дал: parus77
2

Ответ:

Объяснение:

решение смотри внизу

Приложения:
Вас заинтересует