• Предмет: Алгебра
  • Автор: AndreyShaev
  • Вопрос задан 2 года назад

помогите пожалуйста, напишите решение на бумаге если не сложно .

Приложения:

Ответы

Ответ дал: serjiof
1

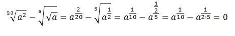
Ответ: 0

Объяснение: решение в файле

Приложения:
Вас заинтересует