• Предмет: Алгебра
  • Автор: CryRenaissance
  • Вопрос задан 2 года назад

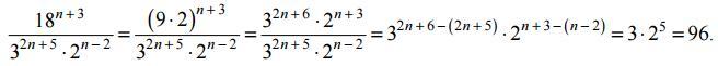
\frac{18^n^+^3}{3^2^n^+^5*2^n^-^2}

Ответы

Ответ дал: skabinova04
1

Ответ на фото. Надеюсь достаточно понятно

Приложения:
Вас заинтересует