• Предмет: Математика
  • Автор: hvaleevstepan
  • Вопрос задан 2 года назад

Помогите пожалуйста)

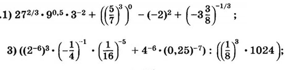
Приложения:

Ответы

Ответ дал: iosiffinikov
1

Ответ:

1)-2/3

2)-14

Пошаговое объяснение:

1)

Перепишем так:

9*3:9+1-4-2/3==-2/3

2)

(1/2^18)*(-(2^2))*2^20+(1/2^12)*2^14^(2^10/2^9)=

-2^4+2^2/2=2-16=-14


hvaleevstepan: а можно прям все решение? по этапно
iosiffinikov: Я вместо каждого сомножителя писал его значение. Например вместо 27^(2/3) писал 9 . Куда ж, поэтапнее?
hvaleevstepan: Учитель такой) но за ответ спасибо)
Аноним: Подробнее см ниже (для Степана)
Ответ дал: Аноним
0

1) (3³)^(2/3)*(3²)^(1/2)*3^(-2)+1-4+(-3/2)³^(-1/3)=

3²*3*3^(-2) - 3 -2/3 = 3-3-2/3=-2/3

2) 2^(-18)*(-2²)*2^20 + 4^(-6)*4^7*8³*4^(-5)=       8³=2³*4³

-2^(-18+2+20) + 8*4^(-6+7+3-5)=                         1024=4^5

-2^4+8*4^(-1)=-16+8/4=-16+2=-14.

Вас заинтересует