• Предмет: Математика
  • Автор: PolishaCrazy
  • Вопрос задан 11 лет назад

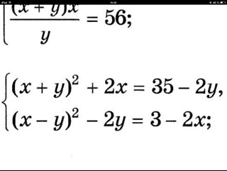
Решить систему уравнений!

Помогите с решением! Запарилась жестоко, желательно с пояснениями!

Приложения:

Ответы

Ответ дал: lana8300
0
раскрой скобки по формуле 
Ответ дал: lana8300
0
3х+у^2+2y=35
3x-y^2-2y=3
складываем 6x=38
x=38/6 т к y^2 b 2y мы сократили)
Ответ дал: lana8300
0
ааа, не правильно....
Ответ дал: inblu
0
 left { {{(x+y)^{2}+2(x+y)=35} atop {-(x-y)^{2}-2(x-y)=-3}} right.
замены: t=x+y, z=x-y

left { {{t^{2}+2t-35=0} atop {-z^{2}-2z+3=0}} right.
решаем отдельно каждое квадратное уравнение:
t_{1}=-7, t_{2}=5

z_{1}=1, z_{2}=-3
Получаем четыре простых системы уравнений:
 left { {x+y=-7} atop {x-y=1}} right. left { {{x+y=-7} atop {x-y=-3}} right. left { {{x+y=5} atop {x-y=1}} right.  left { {{x+y=5} atop {x-y=-3}} right.
решая методом подстановки получаем:
 left { {{y=-4} atop {x=-3}} right.  left { {{y=-2} atop {x=-5}} right.  left { {{y=2} atop {x=3}} right.  left { {{y=4} atop {x=1}} right.
Ответ дал: PolishaCrazy
0
спасибо огромное, все поняла!!!
Вас заинтересует