Ответы
Ответ дал:
1
Ответ:
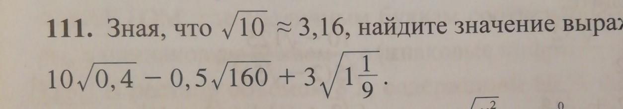
3,16
Объяснение:
Приложения:

sasha3392:
благодарочка!!!
Вас заинтересует
1 год назад
2 года назад
2 года назад
3 года назад
3 года назад
8 лет назад