• Предмет: Алгебра
  • Автор: maksimflick
  • Вопрос задан 2 года назад

помогите пожалуйста срочно!!!

Приложения:

Ответы

Ответ дал: m11m
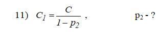
1

Ответ:

Объяснение:

!!!!!!!!!!!!!!!!!!!!!!!!!!

Приложения:
Вас заинтересует