• Предмет: Математика
  • Автор: TheBrayn
  • Вопрос задан 2 года назад

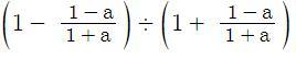
(1-1-а/2+а):(1+1-а/1+а)
По действиям пожалуйста.

Приложения:

Ответы

Ответ дал: crimson41
1

Ответ:

Решение на фото..........

Приложения:

crimson41: неправильно, сейчас скину верное
crimson41: перерешил, теперь вроде правильно
TheBrayn: Мне не в строку надо,а по действиям.
Вас заинтересует