• Предмет: Алгебра
  • Автор: asdf4551
  • Вопрос задан 2 года назад

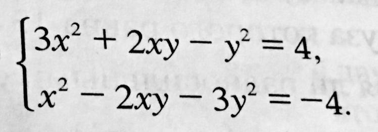
Решите способом сложения систему уравнений , с объяснением ,пожалуйста

Приложения:

Ответы

Ответ дал: leimaan
2
Короче берешь и складываешь почленно каждый множитель и выходит ответ)если есть одинаковые числа,то они сокращаются
Приложения:
Вас заинтересует