Ответы
Ответ дал:
0
Ответ:
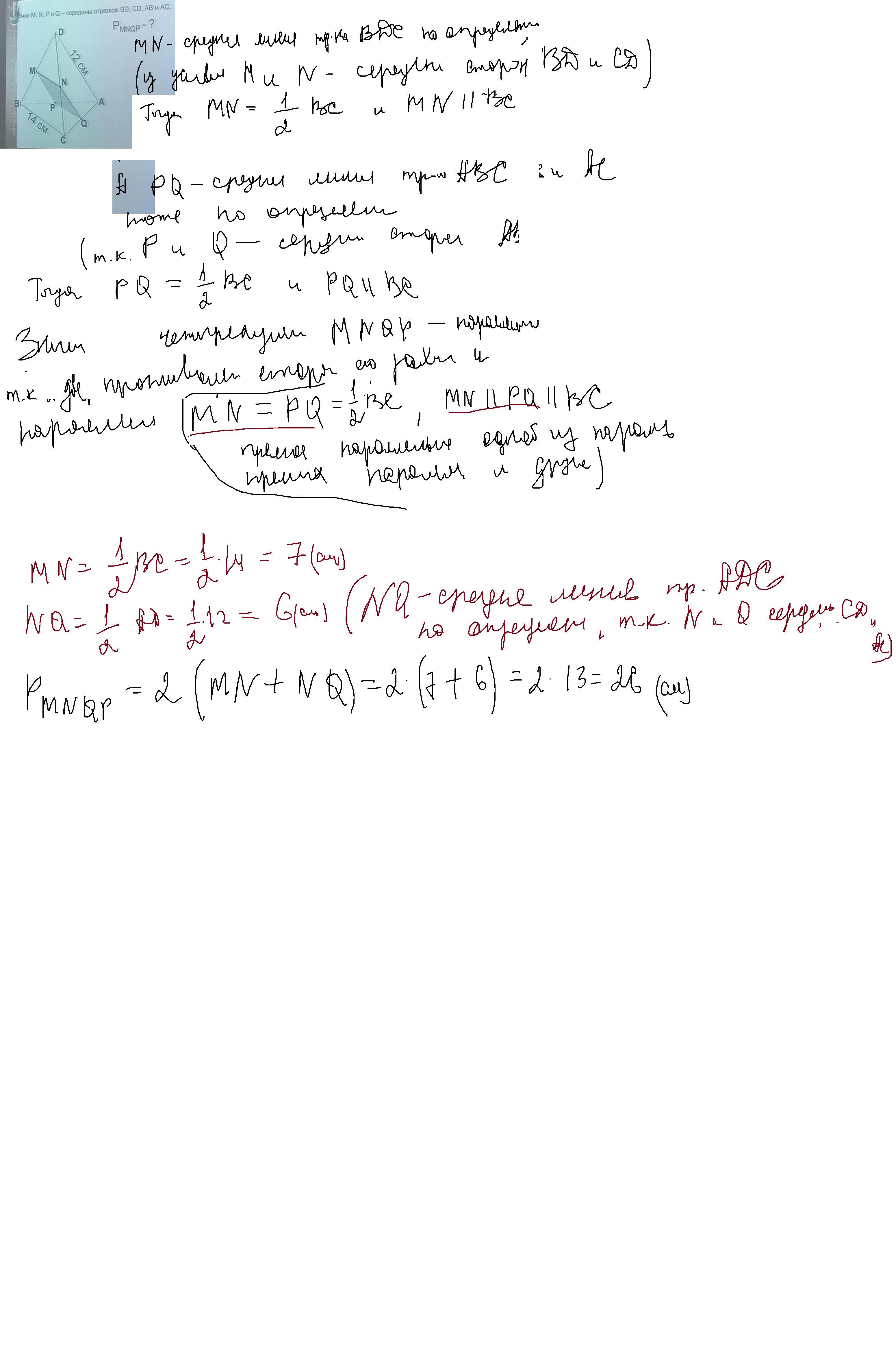
Объяснение:Срочно! Задача по геометрии,
Приложения:

Вас заинтересует
2 года назад
2 года назад
3 года назад
8 лет назад