Ответы
                                            Ответ дал: 
                                                                                    
                                        
                                            
                                                
                                                
                                                
                                                    1
                                                
                                            
                                        
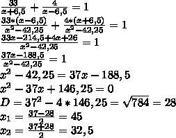
                                    Ответ:
х1 = 45
х2 = 32,5
Объяснение:
На фото все показано
Приложения:
                     
                            
                    bertashka:
                    А откуда взялись x^2-42,25?
                
            
                    
                    Из знаменателя в 4ом ряду
                
            Вас заинтересует
                
                        1 год назад
                    
                
                        2 года назад
                    
                
                        2 года назад
                    
                
                        3 года назад
                    
                
                        8 лет назад