• Предмет: Алгебра
  • Автор: Bayonet
  • Вопрос задан 2 года назад

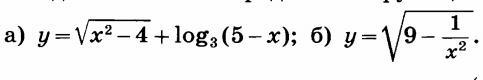
Найдите область определения функции:

Приложения:

Bayonet: Нужно подробное решение

Ответы

Ответ дал: NNNLLL54
0

1)\; \; y=\sqrt{x^2-4}+log_3(5-x)\\\\OOF:\; \; a)x^2-4\geq 0\; \; \to \; \; \; (x-2)(x+2)\geq 0\\\\+++[-2]---[2]+++\\\\x\in (-\infty ;-2\, ]\cup [\, 2,+\infty )\\\\b)\; \; 5-x>0\; \; \to \; \; x<5\; \; ,\; \; x\in (-\infty ,5)\\\\c)\; \; \left \{ {{x\in (-\infty ;-2\, ]\cup [\, 2,+\infty )} \atop {x\in (-\infty ,5)\qquad \qquad }} \right. \; \; \Rightarrow \; \; \; \boxed {\; x\in (-\infty ,-2\, ]\cup [\, 2,5)\; }

2)\; \; y=\sqrt{9-\frac{1}{x^2}}\\\\\\OOF:\; \; 9-\frac{1}{x^2}\geq 0\; \; ,\; \; \; \frac{9x^2-1}{x^2}\geq 0\; \; ,\; \; \; \frac{(3x-1)(3x+1)}{x^2}\geq 0\; ,\\\\znaki:\; \; \; +++[-\frac{1}{3}\; ]---(0)---[\, \frac{1}{3}\, ]+++\\\\\\\boxed {\; x\in (-\infty ;-\frac{1}{3}\, ]\cup [\, \frac{1}{3}\, ;+\infty )\; }

Вас заинтересует