• Предмет: Математика
  • Автор: elena660
  • Вопрос задан 2 года назад

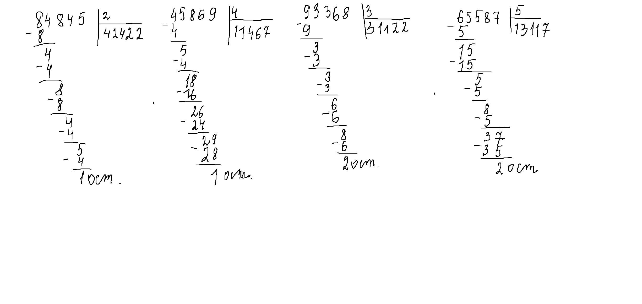
выполни деление с остатком .84845:2, 45869:4, 93368:3, 65587:5​

Ответы

Ответ дал: NataVlk
284

Ответ:

Пошаговое объяснение:

84845÷2=42422(ост 1)

45869÷4=11467(ост 1)

93368÷3=31122(ост 2)

65587÷5=13117(ост 2)

Ответ дал: parus77
181

Ответ:

Пошаговое объяснение:

решение смотри внизу.

Приложения:
Вас заинтересует