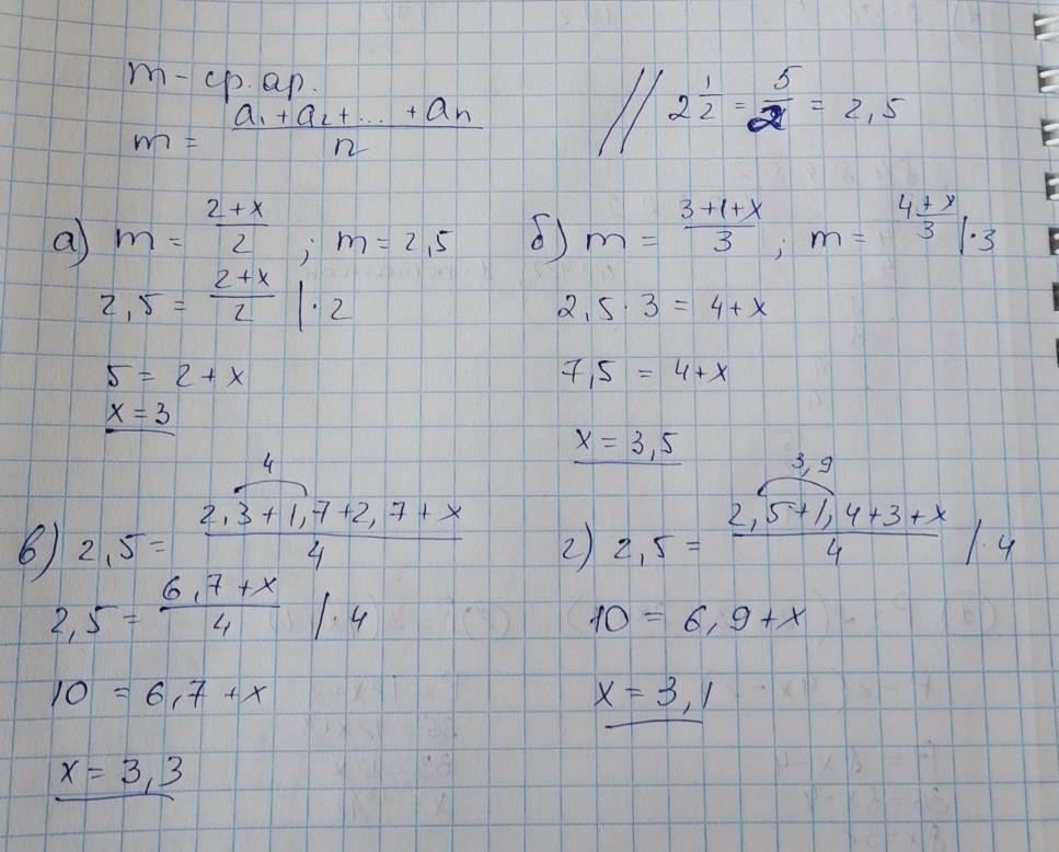
Каким числом должно быть «х»,чтобы среднее арифметическое было 2,5?
а) 2 и х
б) 3; 1 и х
в) 2,3; х; 1,7 и 2,7
г) 2ц. 1/2; 3; 1,4 и х
Помогите пожалуйста
Ответы
Ответ дал:
0
Ответ:
Решение во вложении
Пошаговое объяснение:
Решение во вложении
Приложения:
Вас заинтересует
2 года назад
2 года назад
2 года назад
2 года назад
3 года назад
3 года назад
9 лет назад