Ответы
Ответ дал:
1
Ответ:
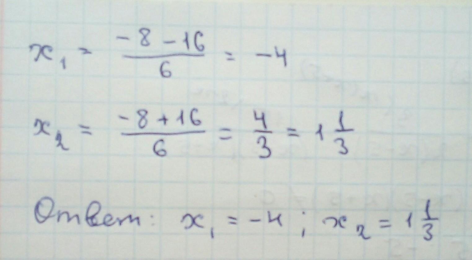
фоточка тебе в помощь;)
Приложения:



ssuhodolskaa34:
Спасибо большое тебе
Вас заинтересует
1 год назад
1 год назад
2 года назад
2 года назад
3 года назад
8 лет назад