Ответы
                                            Ответ дал: 
                                                                                    
                                        
                                            
                                                
                                                
                                                
                                                    0
                                                
                                            
                                        
                                    Объяснение:
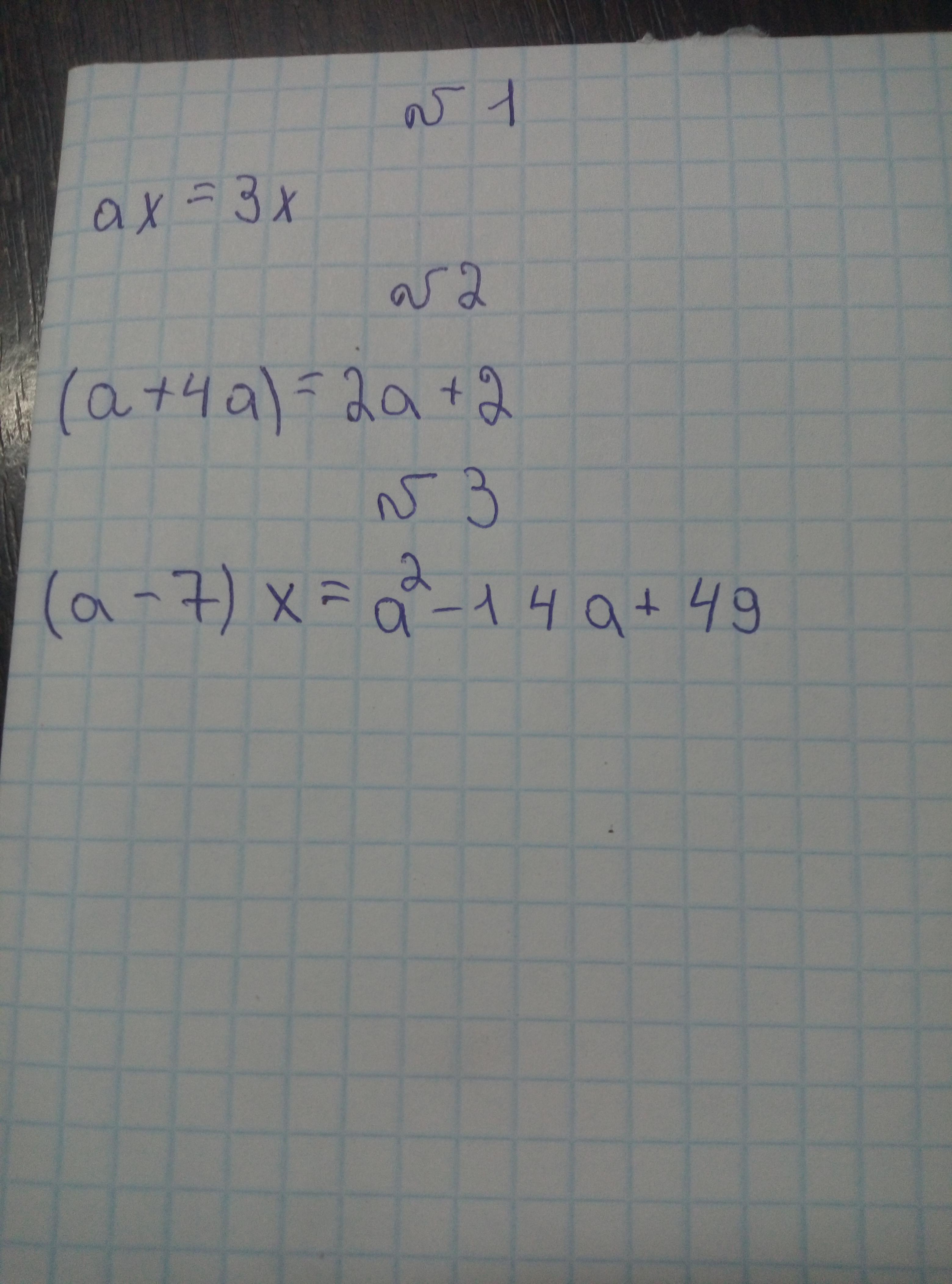
Ax=3x
A * x = 3x
A= 3x : x
A =3x
2)
(a+4a)=2a + 2
A + 4a = 2a +2
3a=2
A =2 : 3
A = 2/3
3)
(a-7)x=a - 14a +49
A-7x = - 12a +49
-13a - 7x=49
Ax=49 : (-13) - 7
Ax=-10 10/13
Вас заинтересует
                
                        1 год назад
                    
                
                        1 год назад
                    
                
                        2 года назад
                    
                
                        2 года назад
                    
                
                        3 года назад
                    
                
                        3 года назад
                    
                
                        8 лет назад
                    
                