• Предмет: Математика
  • Автор: lualpopo
  • Вопрос задан 2 года назад

помогитееее пожалуйста ​

Приложения:

Ответы

Ответ дал: VlasteR3
1

Ответ:

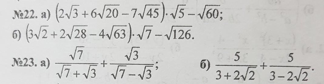
№22

а) = -45

б) = -56

№23

а) =5/2=2,5

б) = 30

Пошаговое объяснение:

Вас заинтересует