• Предмет: Математика
  • Автор: Аноним
  • Вопрос задан 2 года назад

Помогите, please.

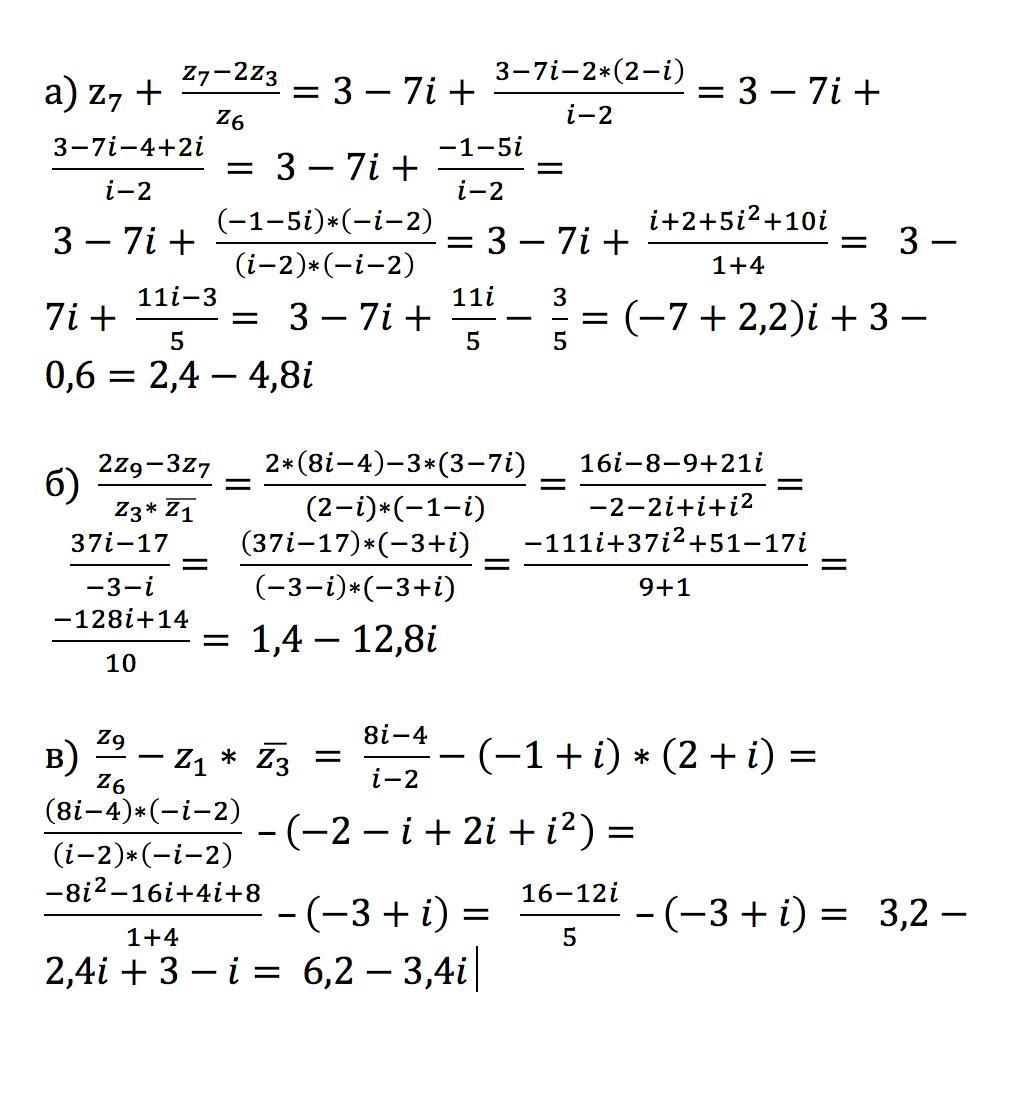
Даны: Z1=-1+i, Z2=3i, Z3=2-i, Z4=5, Z5=-2i, Z6=i-2, Z7=3-7i, Z8=i, Z9=8i-4.

Приложения:

Ответы

Ответ дал: Nastya808080
1

Ответ:

2,4 - 4,8i

1,4 - 12,8i

6,2 - 3,4i

Пошаговое объяснение:

Приложения:

Аноним: Я не понимаю как тебе не лень это всё решать, но я чертовски благодарна тебе, всегда спасаешь, большое спасибо <3
Вас заинтересует