Ответы
Ответ дал:
1
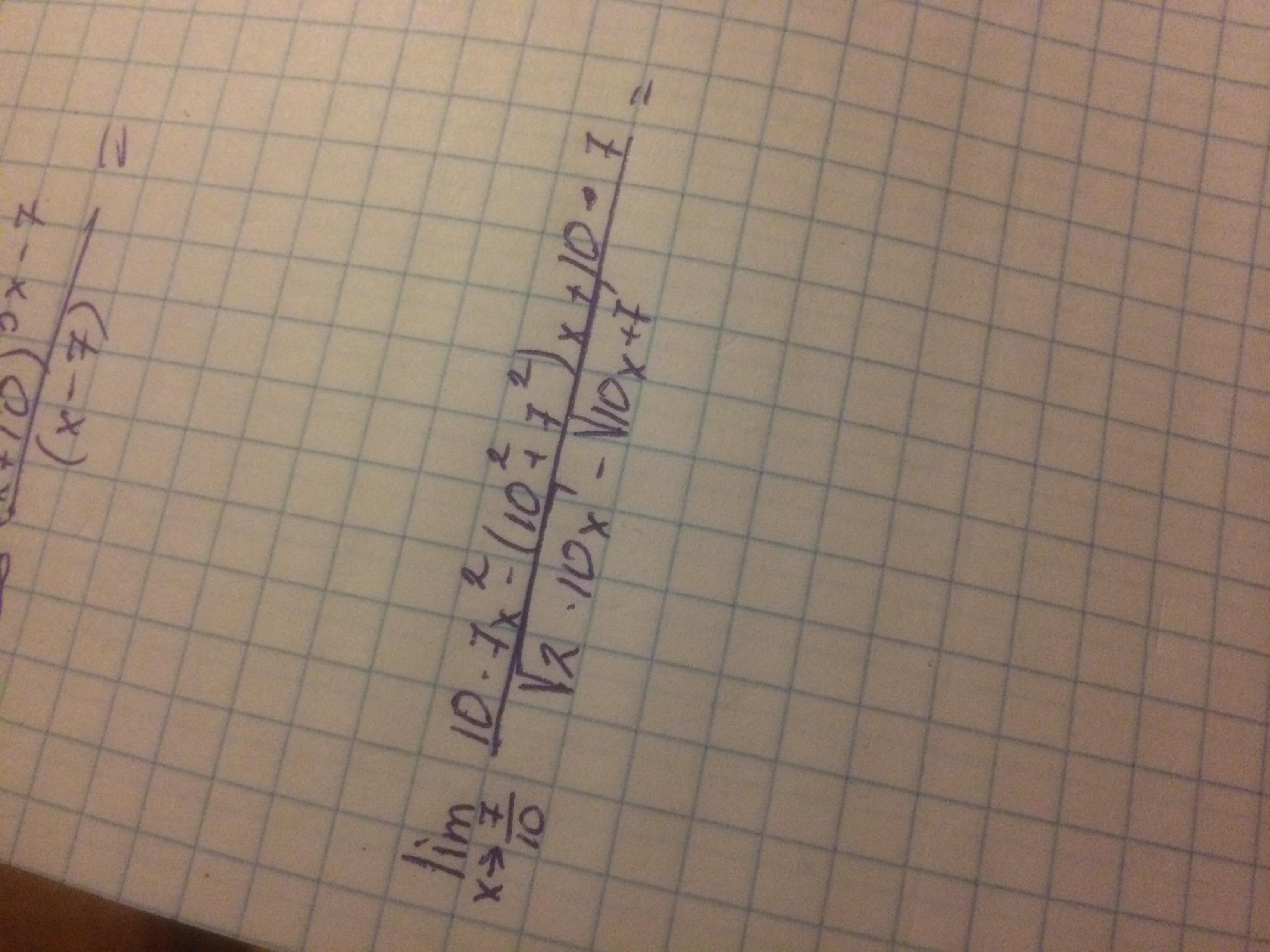
Ответ: на фотографии
Р.s я не уверена на все 100%, что это правильно, но на 80% точно
Желаю удачи
Объяснение:
Приложения:

Вас заинтересует
3 года назад
8 лет назад