• Предмет: Алгебра
  • Автор: linevichyana99
  • Вопрос задан 2 года назад

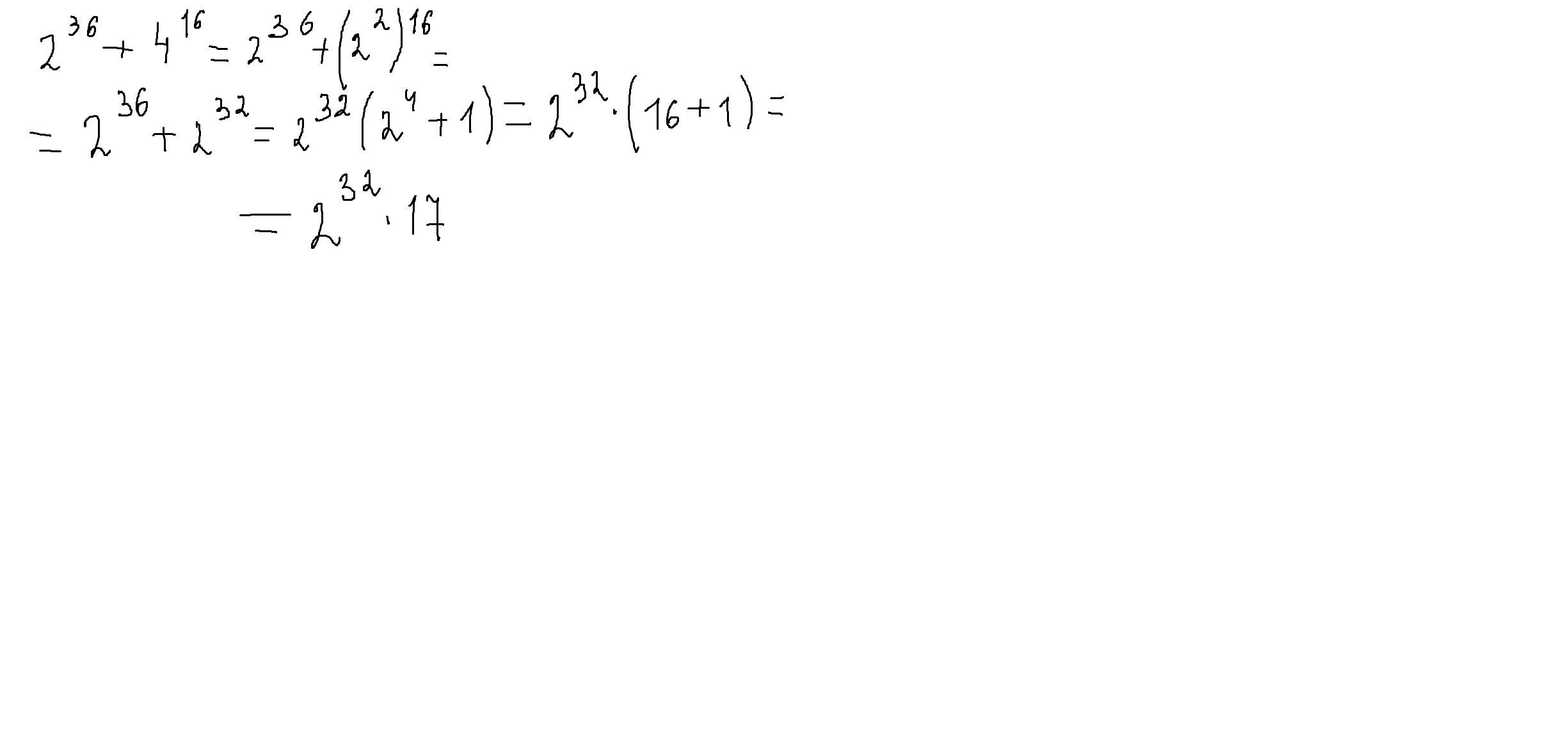
Доказать, что число 2^36+4^16 делится на 17

Ответы

Ответ дал: Аноним
0

2³⁶+4¹⁶=2³⁶+2³²=2³²(2⁴+1)=2³²*17 делится на 17, т.к. 17 делится на 17, значит и произведение 2³²*17 делится на 17, а оно равно 2³⁶+4¹⁶.

Требуемое доказано.

Ответ дал: parus77
1

Ответ:

Объяснение:

т.к в ответе получается произведение, и одним из  множителей яв-ся число 17,значит и все число делится на 17.

Приложения:
Вас заинтересует