• Предмет: Математика
  • Автор: kirill223344kryt
  • Вопрос задан 2 года назад

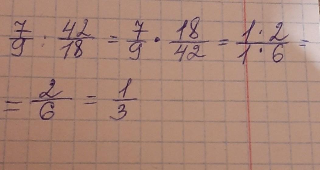
Решите по первой фотографии и распишите

Приложения:

Ответы

Ответ дал: Ma1trix
0

Ответ:7/8: 42/18= 7*18/9*42= 1/3

Пошаговое объяснение:

Ответ дал: magdalina11071989
0

Ответ:

1/3

Пошаговое объяснение:

переворачиваем дробь

затем сокращаем на 7

7/7=1

42/4=6

сокращаем на 9

9/9=1

18/9=2

2/6 сокращаем ещё на 2

2/2=1

6/2=3

ответ 1/3

Приложения:
Вас заинтересует