Ответы
Ответ дал:
2
Объяснение:
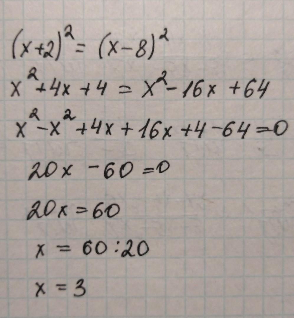
Решение на фото.............
Приложения:

gyntrt:
Спасибо
Вас заинтересует
1 год назад
1 год назад
2 года назад
3 года назад