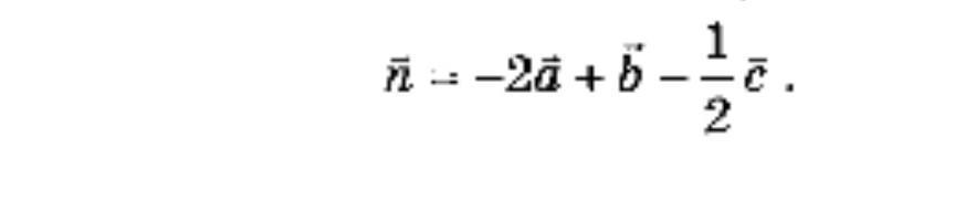
50 баллов, найдите координаты векторов n=-2a+b-1/2c
с объяснением пж, а то не шарю, желаем мне скорее закончить 3 класс ага да
Приложения:

Ответы
Ответ дал:
0
Я думаю, что речь идет о координатах вектора n,
-2- абсцисса ; 1- ордината; -0.5- апликата
Аноним:
тут посчитать надо......
Вас заинтересует
1 год назад
1 год назад
2 года назад
2 года назад
3 года назад
3 года назад
8 лет назад
8 лет назад