• Предмет: Математика
  • Автор: Лосо
  • Вопрос задан 2 года назад

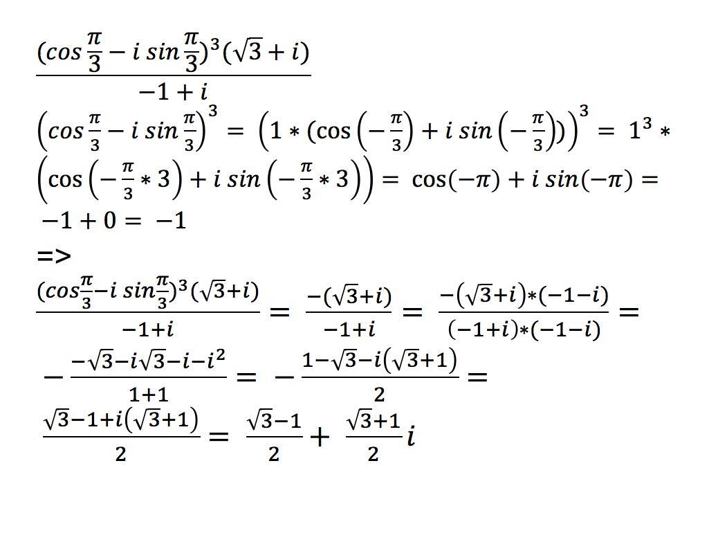
Записать в алгебраической форме число.

Приложения:

Ответы

Ответ дал: Nastya808080
0

Ответ:

\frac{\sqrt{3}-1 }{2} + \frac{\sqrt{3}+1 }{2} i

Пошаговое объяснение:

Приложения:
Вас заинтересует