• Предмет: Математика
  • Автор: hallstoun27
  • Вопрос задан 2 года назад

Линейные уравнения с параметрами

Приложения:

Ответы

Ответ дал: Vas61
0

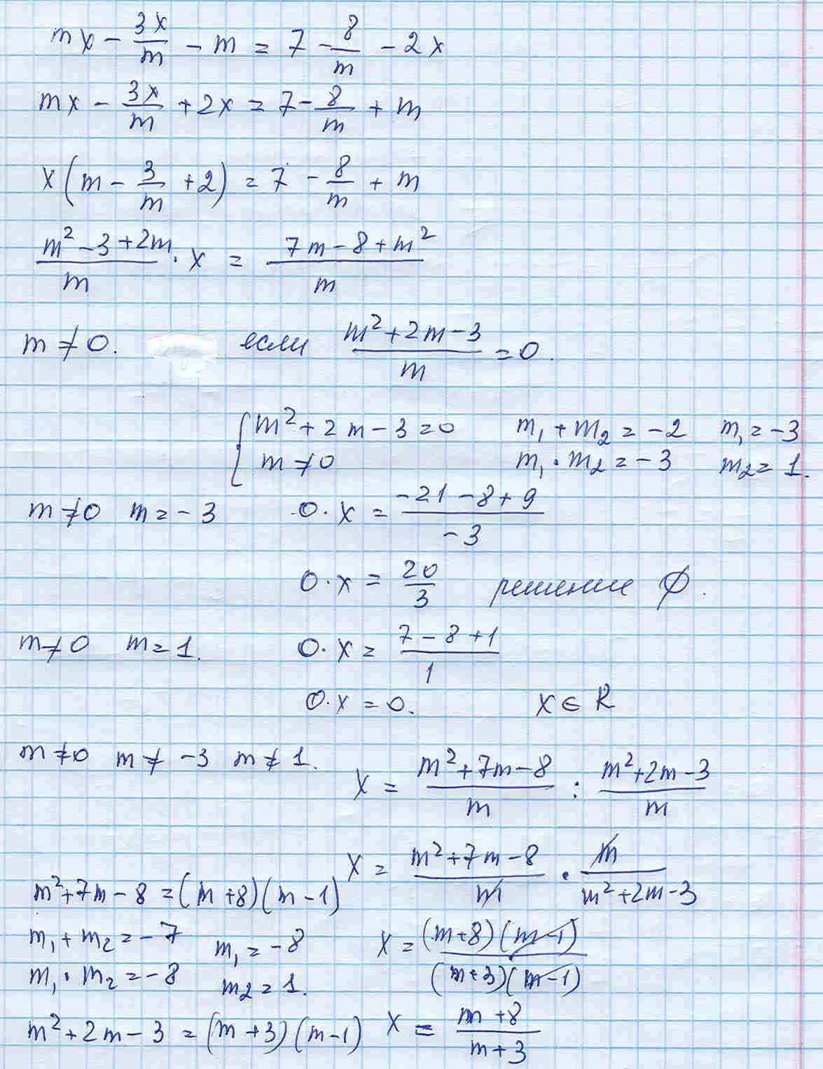
Ответ:

если m≠0 m=-3   ∅

если m≠0 m=1  x∈R

если m≠0  m≠-3  m≠1  x=(x+8)/(x+3)

Пошаговое объяснение:

решение ниже

Приложения:
Ответ дал: lidiasaraa3
0

на фото.................

Приложения:
Вас заинтересует