• Предмет: Алгебра
  • Автор: vikushenka8
  • Вопрос задан 2 года назад

Ребята, помогите срочно!!! Решить уравнения

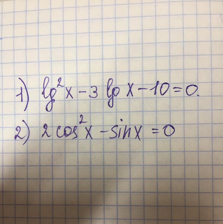
Приложения:

Ответы

Ответ дал: Universalka
1

1)lg^{2}x-3lgx-10=0\\\\lgx=m;x>0\\\\m^{2}-3m-10=0\\\\D=(-3)^{2}-4*(-10)=9+40=49=7^{2}\\\\m_{1}=\frac{3+7}{2}=5\\\\m_{2}=\frac{3-7}{2}=-2\\\\1)lgx=5\\\\x=10^{5}\\\\2)lgx=-2\\\\x=10^{-2}=0,01\\\\Otvet:\boxed{10^{5};0,01}

2)2cos^{2}x-Sinx=0\\\\2(1-Sin^{2}x)-Sinx=0\\\\2-2Sin^{2}x-Sinx=0\\\\2Sin^{2}x+Sinx-2=0\\\\Sinx=m;-1\leq m\leq1\\\\2m^{2}+m-2=0\\\\D=1^{2}-4*2*(-2)=1+16=17\\m_{1}=\frac{-1+\sqrt{17}}{4}\\\\m_{2}=\frac{-1-\sqrt{17}}{4}<-1\\\\Sinx=\frac{\sqrt{17}-1 }{4}\\\\x=(-1)^{n}arcSin\frac{\sqrt{17}-1}{4}+\pi n,n\in Z               \\


dasew12: Помогите пожалуйста https://znanija.com/task/32896662
dasew12: Помогите пожалуйста еще https://znanija.com/task/32896662
vikushenka8: Спасибо большое)
Вас заинтересует