• Предмет: Алгебра
  • Автор: dekilo85
  • Вопрос задан 2 года назад

Помогите с вложением, пожалуйста

Приложения:

Ответы

Ответ дал: Nastya808080
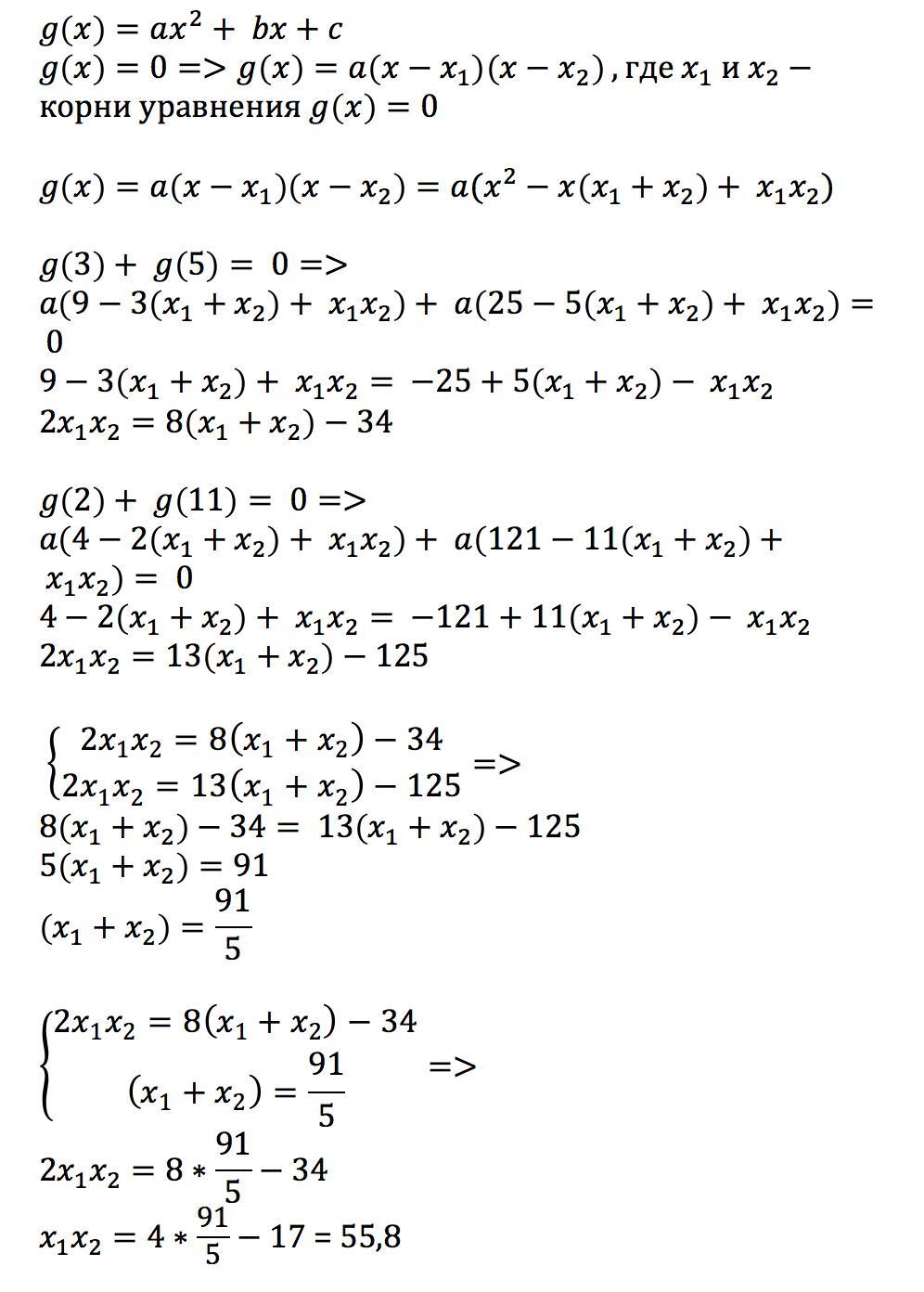
2

Ответ:

55,8

Объяснение:

Приложения:

naso72: Не поможете, пожалуйста, с https://znanija.com/task/32894823 ? :)
Вас заинтересует