• Предмет: Алгебра
  • Автор: AnyGool
  • Вопрос задан 2 года назад

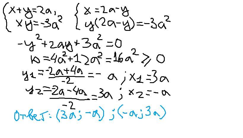
найдите все пары (x,y) чисел,являющиеся решениями системы уравнений
(во вложении) помогите пожалуйста, как решить ??

Приложения:

Ответы

Ответ дал: solving05
3

Ответ:

Объяснение:

Решение в приложении

Приложения:

AnyGool: добрый день спасибо за помощь, там есть и б) вы можете помочь со вторым примером б) пожалуйста ?
Вас заинтересует