• Предмет: Математика
  • Автор: 22lesha22
  • Вопрос задан 2 года назад

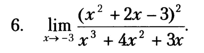
Помогите решить придел

Приложения:

Ответы

Ответ дал: natalyabryukhova
1

Ответ:

====================

Пошаговое объяснение:

Приложения:

22lesha22: Подскажите куда вы дели квадрат в числителе
Вас заинтересует