• Предмет: Математика
  • Автор: Svika98
  • Вопрос задан 2 года назад

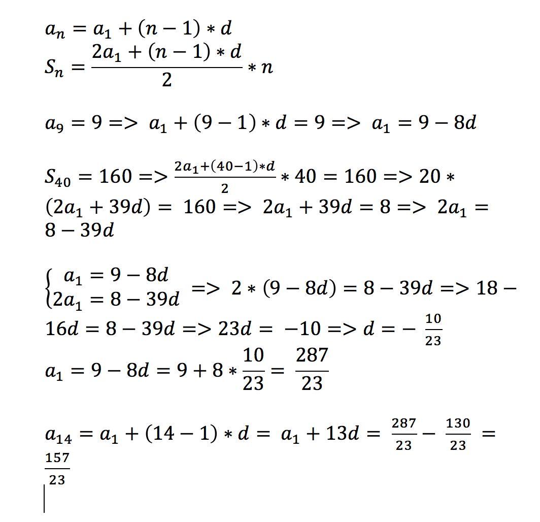
Сумма сорока первых членов арифметической прогрессии равна 160, а её девятый член равен 9. Найти четырнадцатый член этой прогрессии. ​

Ответы

Ответ дал: Nastya808080
1

Ответ:

a_{14}  = \frac{157}{23}

Пошаговое объяснение:

Приложения:

ClarisVerbis: Здравствуйте. Помогите, пожалуйста https://znanija.com/task/32902910
Вас заинтересует