• Предмет: Алгебра
  • Автор: Аноним
  • Вопрос задан 2 года назад

Докажите тождество ПОМОГИТЕ ПЖ
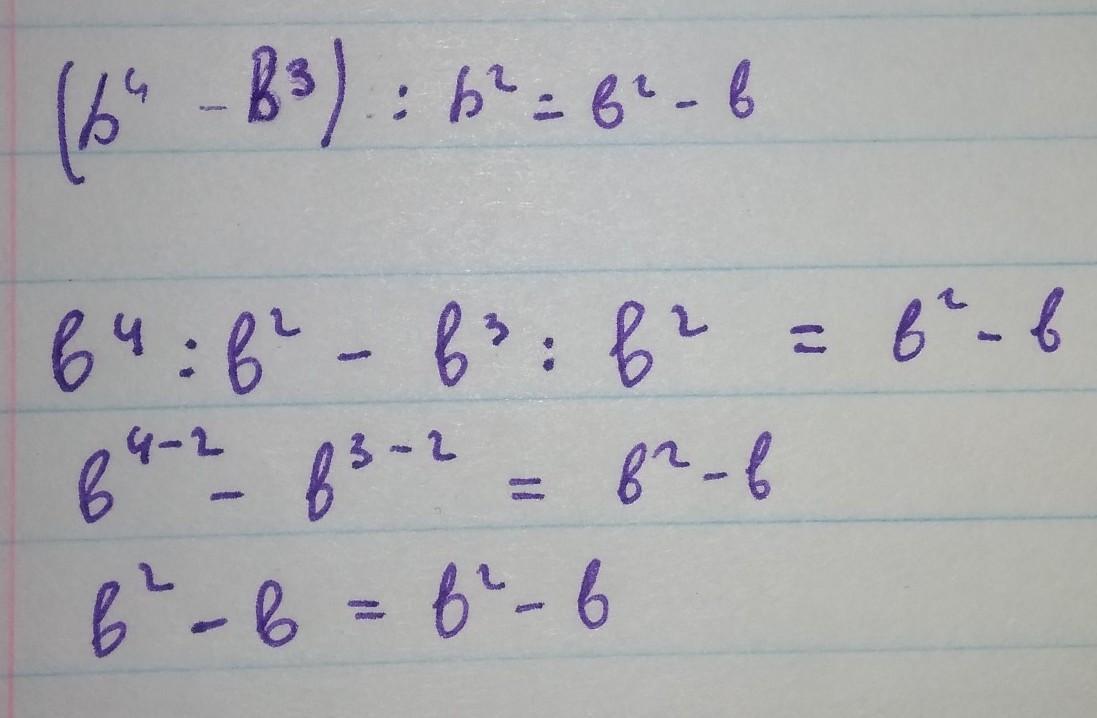
(b⁴ - b³) : b² = b² - b​

Ответы

Ответ дал: basta0176
2

Ответ:

на фото....

____________________________

Приложения:

Аноним: спс
Аноним: надеюсь правильно
Ответ дал: bena20193
2

Ответ:

Объяснение:

(b⁴ - b³) : b² =

запишем в виде дроби

=(b⁴ - b³) /b² =

в числителе вынесем за скобки b²

=b²(b² - b) /b² =

сократим дробь на b²

= b² - b​

Вас заинтересует