• Предмет: Математика
  • Автор: schoolnik777help
  • Вопрос задан 2 года назад

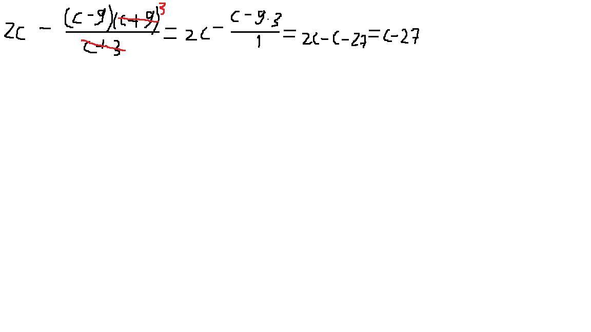
Правильно ли упрощено выражение?

Если нет, подскажите как правильно.

Приложения:

Simba2017: неверно
jekadva: =6c-18
Simba2017: 2с-2(с-3)=2с-2с+6=6

Ответы

Ответ дал: vavdovina55
1

Ответ:

Пошаговое объяснение:

Приложения:

schoolnik777help: Благодарю.
Вас заинтересует